Spiro|Spiro
Spiro
BIOFOUNT为您找到相关结果
-
tert-butyl3-amino-1-oxa-8-azaspiro[4.5]decane-8-carboxylate
CAS号:1160246-91-2
-
Tert-butyl3-oxo-2,6-diazaspiro[4.5]decane-6-carboxylate
CAS号:1160246-75-2
-
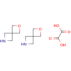
6-Oxa-2-azaspiro[3.4]octanehemioxalate
CAS号:1523571-05-2
-
6-oxa-2-azaspiro[4.5]decane
CAS号:86423-15-6
-
8-tert-butyl2-methyl1-hydroxy-8-azaspiro[4.5]decane-2,8-dicarboxylate
CAS号:1363210-51-8
-
2-Oxa-6-azaspiro[3.3]heptanehemioxalate
CAS号:1045709-32-7
-
Tert-Butyl8-oxo-2-azaspiro[4.5]decane-2-carboxylate
CAS号:1272758-17-4
-
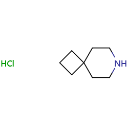
7-Azaspiro[3.5]nonanehydrochloride
CAS号:1414885-16-7
-
6-(methoxycarbonyl)spiro[3.3]heptane-2-carboxylicacid
CAS号:10481-25-1
-
tert-butyl6-oxo-1,7-diazaspiro[4.5]decane-1-carboxylate
CAS号:886449-72-5
-
methyl(6S)-5-azaspiro[2.4]heptane-6-carboxylatehydrochloride
CAS号:1296797-07-3
-
1-azaspiro[4.4]nonane;hydrochloride
CAS号:1417567-64-6
-
6-azaspiro[2.5]octane
CAS号:872-64-0
-
tert-butyl1-oxa-4,8-diazaspiro[5.5]undecane-8-carboxylate
CAS号:1160247-05-1
-
tert-butyl8-(aminomethyl)-5-thia-2-azaspiro[3.4]octane-2-carboxylate5,5-dioxide
CAS号:1373029-31-2
-
1,9-diazaspiro[5.5]undecan-2-one
CAS号:1158749-97-3
-
2-Benzyl-4-cyano-2,8-diaza-spiro[4.5]decane-8-carboxylicacidtert-butylester
CAS号:1341038-86-5
-
tert-butyl4-hydroxy-8-azaspiro[4.5]decane-8-carboxylate
CAS号:1357352-29-4
-
2-Oxaspiro[3.5]nonan-7-one
CAS号:1256546-74-3
-
9-Benzyl-3,9-diazaspiro[5.5]undecane-2,4-dione
CAS号:189333-48-0
-
7-(Tert-butoxycarbonyl)-7-azaspiro[3.5]nonane-2-carboxylicacid
CAS号:873924-12-0
-
Tert-Butyl8-amino-2-azaspiro[4.5]decane-2-carboxylate
CAS号:1363381-61-6
-
Tert-butyl2-(aminomethyl)-7-azaspiro[3.5]nonane-7-carboxylate
CAS号:1160247-15-3
-
2-(((9H-fluoren-9-yl)methoxy)carbonyl)-8-thia-2-azaspiro[4.5]decane-4-carboxylicacid8,8-dioxide
CAS号:1823835-45-5
-
tert-butyl2-oxo-1,9-diazaspiro[4.6]undecane-9-carboxylate
CAS号:1251022-71-5
-
6-benzyl-2,6-diaza-spiro[3.4]octane-2,8-dicarboxylicacid2-tert-butylester
CAS号:1823807-74-4
-
tert-butyl1-oxo-2,8-diazaspiro[4.6]undecane-8-carboxylate
CAS号:1341039-08-4
-
8-azaspiro[4.5]decane
CAS号:176-64-7
-
benzyl2-oxo-1,9-diazaspiro[4.6]undecane-9-carboxylate
CAS号:1160246-78-5
-
tert-butyl4-(aminomethyl)-1-thia-8-azaspiro[4.5]decane-8-carboxylate
CAS号:1373028-66-0
-
8-azaspiro[4.5]decanehydrochloride
CAS号:1123-30-4
-
7-Oxa-2-azaspiro[3.5]nonane
CAS号:194157-10-3
-
5-benzyl2-tert-butyl8-oxo-2,5-diazaspiro[3.5]nonane-2,5-dicarboxylate
CAS号:1824026-93-8
-
2-tert-butyl5-methyl7-oxa-2-azaspiro[3.5]nonane-2,5-dicarboxylate
CAS号:1445950-84-4
-
racemic-(5R,9S)-tert-butyl9-amino-6-oa-2-azaspiro[4.5]decane-2-carboxylate
CAS号:1445951-59-6
-
2,8-Diazaspiro[4.5]decan-3-onehydrochloride
CAS号:945892-88-6
-
5-Azaspiro[2.5]octanehydrochloride
CAS号:1797157-33-5
-
7-oxaspiro[3.5]nonane-2-carboxylicacid
CAS号:90612-60-5
-
tert-butyl9-(hydroxymethyl)-8-oxo-2,7-diazaspiro[4.4]nonane-2-carboxylate
CAS号:1445950-79-7
-
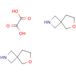
6-oxa-2-azaspiro[3.4]octanehydrochloride
CAS号:1359656-12-4



购物车 


